个点 条边的图。判断是否图中每个简单环长度都相同。
。
对于每个点双单独考虑。
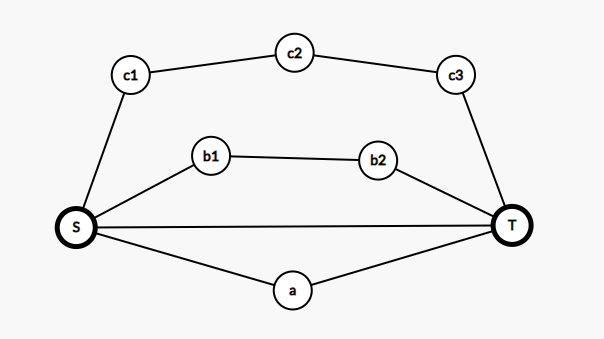
合法情况形如两个端点和若干条链。称为杏仁图,形似 纺锤体和纺锤丝。
要说明在此基础上加任意一条边都非法。加的边的端点可以在同一条链上或在两条链上,都会推出必须存在边权为 的边,退化后还是形如这样的结构。
int n,m,ans,fl;
pii edge[maxn];
vector<int> e[maxn],g[maxn];
int dfn[maxn],lw[maxn],idx;
int st[maxn],tp;
int scc[maxn],scct;
int dep[maxn];
void tar(int u){
dfn[u]=lw[u]=++idx;st[++tp]=u;
for(int v:e[u]){
if(!dfn[v]){
dep[v]=dep[u]+1;tar(v);
lw[u]=min(lw[u],lw[v]);
if(lw[v]>=dfn[u]){
++scct;
g[scct].pb(st[tp]);
while(st[tp--]!=v)g[scct].pb(st[tp]);
g[scct].pb(u);
}
}
else lw[u]=min(lw[u],dfn[v]);
}
}
vector<pii> ee[maxn];
bool vis[maxn];
void dfs(int u,int fa){
vis[u]=1;dep[u]=dep[fa]+1;
for(int v:e[u])if(v!=fa){
if(!vis[v])dfs(v,u);
}
}
int d[maxn];
void work(){
n=read();m=read();ans=-1;fl=0;
for(int i=1;i<=n;i++)e[i].clear(),g[i].clear();
for(int i=1;i<=n;i++)dfn[i]=dep[i]=0;idx=tp=scct=0;
for(int i=1;i<=m;i++){
int u=read(),v=read();
e[u].pb(v),e[v].pb(u);
}
tar(1);
for(int i=1;i<=scct;i++){
sort(g[i].begin(),g[i].end(),[&](int u,int v){return dep[u]<dep[v];});
for(int j=1;j<g[i].size();j++)scc[g[i][j]]=i;
ee[i].clear();
}
for(int u=1;u<=n;u++){
for(int v:e[u])if(dep[u]<dep[v]||(dep[u]==dep[v]&&u<v))ee[scc[v]].pb({u,v});
}
for(int i=1;i<=scct;i++)if(g[i].size()>2){
for(int u:g[i])e[u].clear(),vis[u]=0,d[u]=0;
for(auto[u,v]:ee[i])d[u]++,d[v]++,e[u].pb(v),e[v].pb(u);
int num=0;for(int u:g[i])num+=(d[u]==2);
if(num==g[i].size()){
if(ans==-1)ans=num;
else if(ans!=num)fl=1;
}
else if(num+2==g[i].size()){
int p1=0,p2=0;
for(int u:g[i])if(d[u]!=2)(!p1?p1:p2)=u;
vis[p2]=1;dfs(p1,0);
for(int v:e[p2]){
if(ans==-1)ans=dep[v]*2;
else if(ans!=dep[v]*2)fl=1;
}
}
else fl=1;
}
if(fl)puts("No");
else puts("Yes");
}个点 条带权边的图。保证存在重新赋正边权的方案使得图中每个简单环边权和都相同。
次询问 的所有简单路径权值和。
。
对每个点双找到上述 杏仁 结构后,可以 处理一个点双内两个点的 所有简单路径数和所有简单路径权值和,记为 。
记 为纺锤丝数, 为整个点双的边权和。如果 在同一条链上, 为两个纺锤体, 更靠近 ,。否则 。
建圆方树, 路径上的圆点都是必经点,倍增在一级祖先(方点)的点双内,圆点 去到二级祖先(圆点)的二元组。每次询问如果 lca 为方点,在额外计算 lca(方点)的点双内,两个圆点的二元组。
复杂度 。
int n,m,q;
vector<pii> e[maxn];
vector<int> g[maxn];
int dfn[maxn],lw[maxn],idx;
int st[maxn],tp;
int scc[maxn],scct;
int dep[maxn];
void tar(int u){
dfn[u]=lw[u]=++idx;st[++tp]=u;
for(auto[v,w]:e[u]){
if(!dfn[v]){
dep[v]=dep[u]+1;tar(v);
lw[u]=min(lw[u],lw[v]);
if(lw[v]>=dfn[u]){
++scct;
g[scct].pb(st[tp]),g[st[tp]].pb(scct);
while(st[tp--]!=v)g[scct].pb(st[tp]),g[st[tp]].pb(scct);
g[scct].pb(u),g[u].pb(scct);
}
}
else lw[u]=min(lw[u],dfn[v]);
}
}
vector<tuple<int,int,int>> ee[maxn];
pii merge(pii u,pii v){return {u.fi*v.fi%mod,(u.fi*v.se+u.se*v.fi)%mod};}
int to[maxn][20];
pii val[maxn][20];
int a[maxn],b[maxn],num[maxn],sum[maxn];
vector<int> d[maxn],disa[maxn],disb[maxn],pos[maxn];
int rnk[maxn];
void dfsa(int id,int u,int fa){
for(auto[v,w]:e[u])if(v!=fa){
if(v==g[id][b[id]])continue;
disa[id][rnk[v]]=disa[id][rnk[u]]+w;
dfsa(id,v,u);
}
}
void dfsb(int id,int u,int fa){
for(auto[v,w]:e[u])if(v!=fa){
if(v==g[id][a[id]])continue;
disb[id][rnk[v]]=disb[id][rnk[u]]+w;
dfsb(id,v,u);
}
}
void dfsp(int id,int u,int fa,int fr){
pos[id][rnk[u]]=fr;
for(auto[v,w]:e[u])if(v!=fa){
if(v==g[id][b[id]])continue;
dfsp(id,v,u,fr);
}
}
void init(int id){
int sz=g[id].size();
sort(g[id].begin(),g[id].end());
d[id].resize(sz),disa[id].resize(sz),disb[id].resize(sz),pos[id].resize(sz);
for(int i=0;i<sz;i++)rnk[g[id][i]]=i;
for(auto[u,v,w]:ee[id])d[id][rnk[u]]++,d[id][rnk[v]]++;
a[id]=b[id]=-1;
for(int i=0;i<sz;i++)if(d[id][i]>2)(a[id]==-1?a[id]:b[id])=i;
if(a[id]==-1)a[id]=0,b[id]=1;
for(int u:g[id])e[u].clear();
for(auto[u,v,w]:ee[id])e[u].pb({v,w}),e[v].pb({u,w}),sum[id]+=w;sum[id]%=mod;
dfsa(id,g[id][a[id]],0),dfsb(id,g[id][b[id]],0);
disa[id][b[id]]=disb[id][a[id]]=inf;
pos[id][a[id]]=-1,pos[id][b[id]]=-1;
for(auto [v,w]:e[g[id][a[id]]]){
++num[id];
if(v==g[id][b[id]])continue;
dfsp(id,v,g[id][a[id]],num[id]);
}
}
pii calc(int id,int u,int v){
int p=lower_bound(g[id].begin(),g[id].end(),u)-g[id].begin();
int q=lower_bound(g[id].begin(),g[id].end(),v)-g[id].begin();
if(pos[id][p]!=-1&&pos[id][q]!=-1&&pos[id][p]!=pos[id][q]){
return {2*(num[id]-1),(2*sum[id]+(disa[id][p]+disb[id][p]+disa[id][q]+disb[id][q])%mod*(num[id]+mod-3))%mod};
}
int va=0,vb=0;
if(disa[id][p]<disa[id][q])va=disa[id][p],vb=disb[id][q];
else va=disa[id][q],vb=disb[id][p];
return {num[id],(sum[id]+(va+vb)%mod*(num[id]-2))%mod};
}
void dfs(int u,int fa){
dep[u]=dep[fa]+1;to[u][0]=fa;
for(int i=1;i<20;i++)to[u][i]=to[to[u][i-1]][i-1];
if(u<=n&&u>1)val[u][0]=calc(to[u][0],u,to[u][1]);
for(int i=1;i<20;i++)val[u][i]=merge(val[u][i-1],val[to[u][i]][i-1]);
for(int v:g[u])if(v!=fa)dfs(v,u);
}
int lca(int u,int v){
if(dep[u]<dep[v])swap(u,v);
for(int i=19;~i;i--)if(dep[to[u][i]]>=dep[v])u=to[u][i];
if(u==v)return u;
for(int i=19;~i;i--)if(to[u][i]!=to[v][i])u=to[u][i],v=to[v][i];
return to[u][0];
}
int que(int u,int v){
int tp=lca(u,v);
pii res={1,0};
for(int i=19;i;i--)if(dep[to[u][i]]>=dep[tp])res=merge(res,val[u][i-1]),u=to[u][i];
for(int i=19;i;i--)if(dep[to[v][i]]>=dep[tp])res=merge(res,val[v][i-1]),v=to[v][i];
if(u==v)return res.se;
return merge(res,calc(to[u][0],u,v)).se;
}
void work(){
n=read();m=read();q=read();
for(int i=1;i<=m;i++){
int u=read(),v=read(),w=read();
e[u].pb({v,w}),e[v].pb({u,w});
}
scct=n;tar(1);
for(int i=n+1;i<=scct;i++){
sort(g[i].begin(),g[i].end(),[&](int u,int v){return dep[u]<dep[v];});
for(int j=1;j<g[i].size();j++)scc[g[i][j]]=i;
}
for(int u=1;u<=n;u++){
for(auto[v,w]:e[u])if(dep[u]<dep[v]||(dep[u]==dep[v]&&u<v))ee[scc[v]].pb({u,v,w});
}
for(int i=n+1;i<=scct;i++)init(i);
dfs(1,0);
while(q--){
int u=read(),v=read();
write(que(u,v));puts("");
}
}